转自:新华财经
新华财经北京4月22日电(王晓伟)英国国家统计局(ONS)发布2026年3月消费者物价指数(CPI)报告,数据显示英国通胀出现超预期反弹,主要受能源价格大幅上涨驱动,不过核心通胀仍保持温和回落态势,为英国央行货币政策提供双向信号。
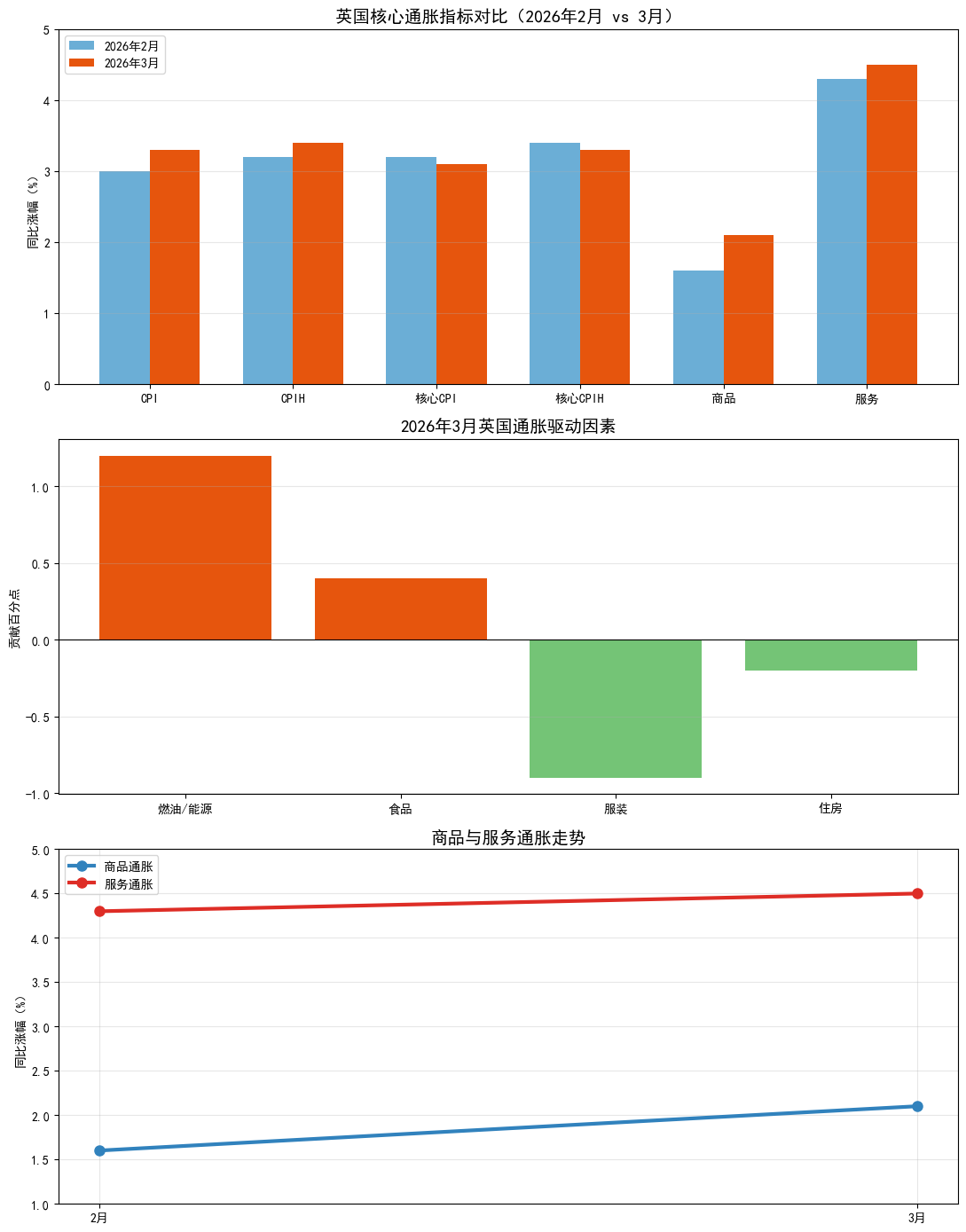
CPI同比涨幅3.3%,较2月的3.0%显著回升,高于市场预期,结束此前连续回落趋势。CPI环比涨幅0.7%,远高于去年同期0.3%的涨幅,为近期较大月度上行幅度。CPIH(含自住住房成本)同比上涨3.4%,较2月3.2%小幅上行。核心CPI(剔除能源、食品、烟酒)同比上涨3.1%,较2月3.2%继续回落。核心CPIH同比上涨3.3%,同样较前值小幅下降,内生通胀压力持续缓解。
交通品类同比涨幅从2.4%飙升至4.7%,创2022年12月以来新高;其中车用燃料成为最大上行贡献项,3月汽油均价环比上涨8.6便士/升,柴油均价环比大涨17.6便士/升,扭转去年同期下跌趋势,车用燃料同比涨幅由负转正至4.9%,为2023年1月以来最高。此外,民用取暖油价格环比暴涨90.5%,带动相关能源分项通胀率飙升至95.3%。
食品与非酒精饮料同比涨幅从3.3%升至3.7%,巧克力糖果、肉类、鱼类、软饮料等品类小幅上涨,成为次要推涨因素。
服装鞋帽同比由涨转跌,录得-0.8%,为2021年3月以来最低,大幅抵消部分上行压力,主要因春季新品折扣力度高于去年同期。
结构分化:商品通胀反弹,服务通胀韧性仍存
商品通胀:同比从1.6%升至2.1%,能源价格是核心驱动;服务通胀:CPI服务同比从4.3%升至4.5%,CPIH服务同比从4.2%升至4.3%,住宿、餐饮、交通服务价格保持坚挺,显示服务业通胀韧性仍在。
3月英国CPI同比3.3%,高于欧盟2.8%、德国2.8%、法国2.0%,为G7中较高水平。中东地缘冲突引发的全球能源价格波动,已直接传导至英国国内燃油与能源价格,英国央行此前已上调短期通胀预期,预计年中通胀或接近3.5%。
当前英国央行面临两难局面:通胀反弹带来短期压力,但核心通胀持续回落、劳动力市场趋弱,限制企业转嫁成本与薪资上涨空间,市场普遍预计英国央行仍将维持利率稳定,短期降息窗口期延后。
制图:新华财经 来源:英国统计局编辑:马萌伟
声明:新华财经(中国金融信息网)为新华社承建的国家金融信息平台。任何情况下,本平台所发布的信息均不构成投资建议。如有问题,请联系客服:400-6123115 ]article_adlist-->
海量资讯、精准解读,尽在新浪财经APP
恒汇证券提示:文章来自网络,不代表本站观点。